・・・ならずー! 契約更新ならずー! 惜っしー! 契約惜っしー! あとちょっとだったのになー! あとちょっとで契約いけたのになー! もうほーんの1cm! ほーんの1mm! ミクロの世界と言っても過言ではないよ! ミクロの微粒子こそが匂いの元で、その微粒子をクンカ吸い込みしてると言っても過言ではないよ! スゥゥゥーーーーッ、スゥゥゥゥゥーーーーーーッ、スゥゥゥゥゥゥゥゥゥゥゥゥウウゲゲゲゲゲェーーーーッ!(過呼吸)
・
・
・
僕は派遣社員なのですよ。 で、派遣先での3ヶ月毎更新に見事漏れたって寸法です。 今月いっぱいの契約で、4月からは別会社の派遣・・・とまぁ、派遣元の会社を辞めるワケではないのでニート化とは異なるのですけども、前回も同じようなシチュエーションで2ヶ月半無収入状態続きましたからね。 在籍してるだけで派遣先がなければニートと同じ。 それなりに気合いを入れ直さなければいけないのです。
ただまぁ、まだ完全に切られると決まった訳でもないんですよね。 ちょっとややこしいので、図で説明をば。
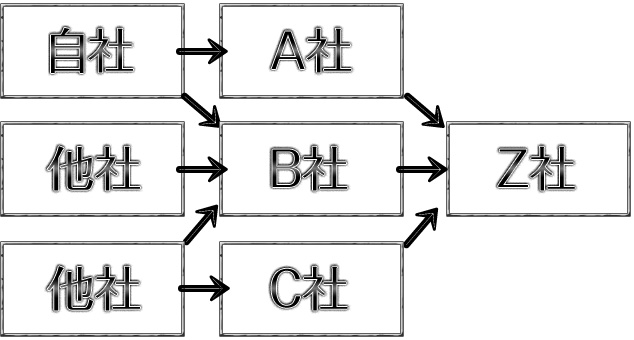
今の僕の契約形態はこんな感じ。 職場はZ社なんだけど、その間に一社噛んでるのね。 で、今回は個人として切られた訳ではなく、A社そのものがZ社に切られたような格好。 僕が社内でどんな立ち位置だろうと、会社ごと切られたら手も足も出ないのです。

但し、Z社に対して実際はこのように蜘蛛の巣のような派遣形態が取られているのです。 深夜で眠いから矢印の数を端折ったけど、A・B・C社全部に人材派遣してる会社もあるし、一社としか提携してない会社もある。 また、それぞれの人数枠も千差万別で、そこら辺に力関係が現れてくるワケですな。
今回、僕に未だ可能性が残っているというのは、下記のようなプランが持ち上がっているからでございます。

つまり、A社が切られてもB社は残っていて、そのB社はZ社との契約が続いている。 ならばそのB社に、巧いこと契約のスライドが出来ないか・・・?という案。
Z社はA社を切りましたが、必要人数が減ったワケではないので、当然他社から人材を補給しなければならないのです。 その際、ゼロから集めるより経験者を集めた方が、会社として回るのは至極当然のこと。 契約をもぎ取る為の尖兵とは言え、数多くの同志がチャンスすら得られずに捨てられていく事を考えると勿体なすぎるチャンス。 これはしがみつく他ないでー。
この話がうまくいけば、僕は理不尽に別会社へ飛ばされたり、給料が出ない半ニート状態を避けることが出来るワケです。 まぁ、一応会社が変わるってことは面談もあるし、多分今の超楽しいチームとは別チームへ移動になるだろうし、給料形態も変わるので、全てが元通りってワケにはいかないだろうけど。 でも半年弱、必死に食らいついた未知ジャンルの職場を離れなくて済む、ってのは存外にメリットよな。 まだまだ覚えたいことはたくさんあるんだぜ。
そんなこんなでいきなり窮地に立たされてますけど、よくよく考えたら去年の今頃も仕事辞めるだの辞めないだの騒いでたんだっけ。 3月は別れの季節と言いますけど、もうそんなこと言ってられる年齢でもないんだがなあ・・・。 そろそろ落ち着きたい\(^o^)/ 定収入で暮らしたい\(^o^)/ 奥さんと毎晩サガミオリジナルでセックスしたい\(^o^)/ 性病はこわい\(^o^)/
